Find Index
The objective is to locate the exact positional index representing the initial appearance of the target value within the nums array. This involves identifying the specific zero-indexed location where the element's value matches the requirement.
If the target exists within the dataset, the output must pinpoint its first occurrence; otherwise, it must return a negative indicator to signify the element's absence. This ensures a deterministic result for indexing operations within varying array structures.
Example 1:
Input: nums = [10, 20, 30], target = 20
Output: 1
Example 2:
Input: nums = [10, 20, 30], target = 40
Output: -1
Example 3:
Input: nums = [5, 5, 5], target = 5
Output: 0
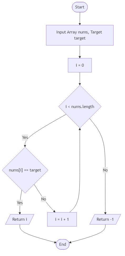
Algorithm Flow

Recommendation Algorithm Flow for Find Index - Budibadu
Best Answers
java
class Solution {
public int find_index(int[] nums, int target) {
for (int i = 0; i < nums.length; i++) {
if (nums[i] == target) return i;
}
return -1;
}
}Comments (0)
Join the Discussion
Share your thoughts, ask questions, or help others with this problem.
