Happy Number
Write an algorithm to determine if a number n is happy.
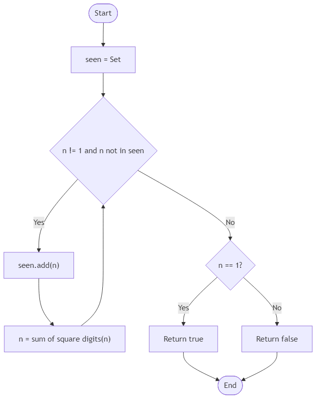
A happy number is defined by repeatedly replacing the number by the sum of the squares of its digits until it equals 1. If it loops endlessly in a cycle that does not include 1, then it is not happy.
Use a hash set to detect cycles.
Example 1:
Input: n = 19
Output: true
Example 2:
Input: n = 2
Output: false
Example 3:
Input: n = 1
Output: true
Algorithm Flow

Recommendation Algorithm Flow for Happy Number - Budibadu
Best Answers
java
import java.util.*;
class Solution {
public boolean happy_number(int n) {
Set<Integer> seen = new HashSet<>();
while (n != 1 && !seen.contains(n)) {
seen.add(n);
int total = 0;
while (n > 0) {
int d = n % 10;
total += d * d;
n /= 10;
}
n = total;
}
return n == 1;
}
}Comments (0)
Join the Discussion
Share your thoughts, ask questions, or help others with this problem.
